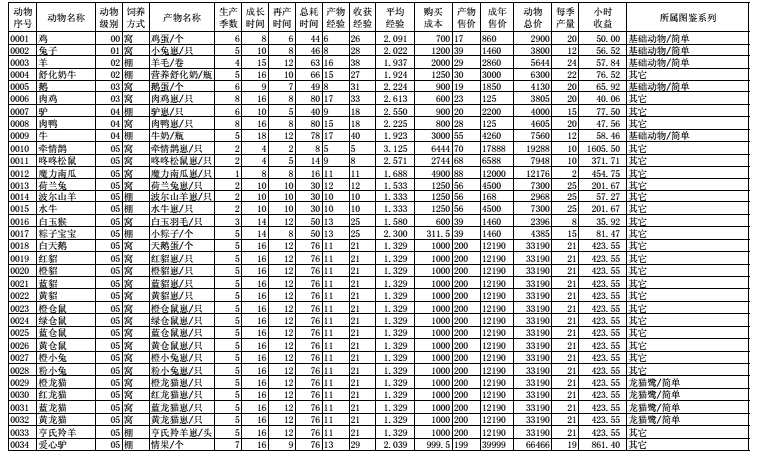
QQ牧场,也叫QQ农场
,是由腾讯开发运营的一款模拟经营类游戏,最早源自网页端,延续了经典的农场经营模式,手机版将qq农牧场进行了二合一,玩家扮演牧场经营者,从购买幼仔到生产、除虫、除草、浇水、收获农副产品和整只动物,再到出售和捐赠动物,体验农、林、牧、渔自给自足的休闲生活。主打朋友社交,玩家可以参观朋友的牧场,互相帮助耕种、喂养动物、交换物品,还支持好友之间的礼物赠送和合作任务。依托QQ好友关系链,玩家能够和好友开展偷菜、帮忙清理便便之类的互动。
点击移动工具可以拖动屏幕,轻松改变目前的视角。
只需摇动手机,就能一键完成收获、铲地等操作,轻松收菜毫不费力。
游戏里设有摩天轮活动,转动它有机会赢取高经验动物、金币、经验以及牧草大礼。
随着积累的财富日益增加,玩家能够对农舍、粮仓、仓库这类建筑进行升级,从而提高生产效率。
https://qqnc.qq.com/index.html
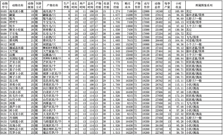
白嫖玩家推荐阵容

微氪玩家推荐阵容

氪金玩家推荐阵容





等自己的动物到了收获的时候,把它们收进仓库,就能卖掉了。

牧草是游戏里不可或缺的资源,动物要是缺了牧草就会暂停生产。获取牧草有三种途径:去牧场商店购买、自己在农场种植,或者请好友帮忙添加。这里建议玩家自己在农场种牧草,尽管需要花些时间,但每棵牧草大概能收获25根,效率比较高。牧草一次性最多能添加1000棵,不过不建议一次全加满,不然牧草会消耗得太快,而且好友也能帮忙收获。
想要提升PK胜率,应援棒能带来20%的加成,灯牌则有50%的加成,这样更容易完成相关任务。每月11日到24日期间,每天都能领取3个欢心企鹅;通过养殖欢心企鹅,还能生产出欢心企鹅崽。欢心企鹅崽可以用来兑换夹子,用夹子捡拾活动垃圾就能获取积分,积攒到350积分时,就可以兑换用于增加仓库容量的道具,从而实现仓库扩容。每月领养的企鹅如果全部进行养殖,总共能得到42个夹子,但实际上兑换35个夹子就足够了,这正好对应350积分。如此一来,每月会剩余7个夹子,这些剩余的夹子可以一直留存到之后使用。
QQ牧场现已对所有农场用户开放,大家只需点击农场上的牧场图标或牧场牌子就能完成开通。游戏团队也在持续修复已知的BUG,力求让大家的游戏体验更流畅。玩家收获后,既可以选择分享来获取更多经验,也能选择不分享。当把动物喂饱后,点击“一键抓取”就能快速收获那些可以生产的动物啦。
7.9分
诅咒之岛版是一款充满趣味的在线恐龙模拟器,它运用3D技术为玩家呈现出逼真的恐龙世界,使玩家能获得更优质的游戏体验。这款游戏玩法多样,在游戏里,玩家可以探索广阔世界,和其他恐龙展开战斗、争夺领地、寻觅食物,竭尽全力让自己存活下去。感兴趣的玩家不妨前来体验一番。
闪传传输助手是一款无需消耗流量的换机软件,在这里你能体验到多样化的功能,享受专业且完善的设备搬家服务。它采用先进技术建立连接,为手机间搭建起快速传输通道。通过闪传传输助手,智能手机之间可以实现顺畅的互联互通,借助WiFi网卡就能直接进行数据传输,彻底摆脱对蓝牙传输技术的依赖,只要双方同步开启软件,就能直接完成信息交互。
《超强敢死队》是一款像素风射击RPG游戏。在游戏里,你将化身敢死队成员,借助各类武器装备击溃敌人、捣毁基地,最终成功解救队友。战斗时,你还能挑选不同的小队成员一同作战——每个角色都拥有独特的攻击方式与专属特点,需要你巧妙搭配、合理运用。另外,地图场景中还散落着各种趣味道具,善用这些道具能让你更轻松地完成关卡挑战,绝对值得一试!
引体向上正版是由四川省体育局联合多方机构打造的全民健身服务平台,作为“百万群众体育引领员工程”的指定工具,核心功能包含引领员注册认证、赛事活动报名、专业培训课程以及运动数据管理。该应用深度整合线下体育资源,借助智能算法为用户定制个性化运动计划,支持步行、跑步、骑行等12种运动模式,通过GPS定位与加速度计技术精准记录运动轨迹、计算卡路里消耗并监测心率。用户能够参与社区挑战赛、分享训练成果,构建起“线上学习-线下实践-数据反馈”的闭环生态。目前,平台已在四川省内招募超50万名群众体育引领员,成为助力全民健身的重要数字化基础设施。
Shotcut是一款广受欢迎的视频剪辑软件。它拥有丰富的素材、模板、贴纸特效等资源,还配备了全面且专业的剪辑工具,用户能够导入本地图片进行剪辑,从而合成出理想的视频作品。此外,用户可以将制作好的视频导出,并上传至社交平台,与其他用户交流互动、分享创作经验。该软件操作简便,无论是刚入门的新手还是专业人士,都能轻松驾驭。
《生或死:生存》是一款3D硬核末日丧尸求生游戏。在病毒席卷后的废墟世界里,你将成为一名孤独的幸存者,在昼夜交替与动态天气的环境中艰难求生。你需要收集木材、矿石等资源,打造武器和避难所;运用战术拆除、侧袭打断等技巧,对抗丧尸与精英敌人。《生或死:生存》中文版支持组队联机,与伙伴并肩作战。你的关键抉择将影响剧情走向,最终解锁不同的生存结局!
常州小牛看房平台作为本地贴心实用的房地产服务平台,拥有海量在线房源供用户挑选,覆盖出租房在内的各类房型。平台还配备了房产估价、查房价等实用工具,支持用户通过手机直接申请房产贷款手续,同时实时推送最新政策信息,授权后即可顺利办理相关业务。依托智能化办理工具,用户能及时掌握办理动态,平台的实用性与便捷性也得到了全方位提升。
掌上精达的最新版本是专为企业打造的在线办公服务平台,融合了企业培训与日常办公功能。平台整合了优质学习资源,打造出工作协同与学习互动的高效环境,使办公体验更智能、更便捷。掌上精达助力企业发展,提高工作效率,多种实用办公管理小工具,帮助用户优化办公学习流程,提供实现快速沟通、提升效率、增强团队凝聚力的解决方案。
168轻断食提供了丰富多样的方法,能助力用户更科学地进行节食与减重。平台内所有功能设计和数据记录都遵循科学原理,用户可随时查看自身的减肥进展。除了基础的记录功能外,软件还收录了大量实用的科普文章供用户阅读学习,同时支持对饮水量和食量进行实时追踪。
YTB视频是一款为用户免费提供高清影视资源的应用,界面设计十分简约清爽。在这里,你不仅能浏览到海量有趣的短视频内容,观看短视频时还能收获不少额外奖励,而且可以快速将喜欢的内容分享给家人朋友。此外,平台还涵盖了丰富的电影、电视剧、动漫等影视资源供你选择,更支持免费下载至手机本地进行离线观看,是当下非常热门的手机追剧神器,喜欢追剧的用户千万别错过!
《地狱摩托2》汉化版是一款摩托题材的闯关游戏。玩家将驾驶摩托车跨越各类障碍物与怪物,一路向前冲刺,通过获取更高分数来解锁性能更出色的摩托车。游戏中加入了大量BOSS,玩家需要精准把控行驶路线,击败更多对手,同时找出BOSS的弱点并将其成功击破。此外,游戏还提供了多重操控方式,每次挑战都能带来不同的操作手感。在前进途中,各类怪物会不时出没,玩家需要时刻保持警惕。
腾讯手机管家是为手机用户打造的一站式安全工具,具备骚扰拦截、病毒查杀、微信清理、流量监控等多种功能,全面保障手机与账户的安全。它如同手机的贴身卫士,无论是骚扰电话、垃圾短信,还是病毒木马、流量异常消耗,都能被它严密监控。只需一键操作,就能清理微信缓存、加速后台应用,让手机即刻恢复流畅。该应用操作界面简洁直观,无论是否熟悉科技产品,都能通过简单几步完成各项设置,确保手机始终处于安全、顺畅的运行状态。
Sololearn 是一款专为编程爱好者打造的编程学习工具平台,它提供了丰富多样的编程语言学习课程,涵盖Python、JavaScript、Java、C++等热门语言,从基础入门到高级进阶的内容一应俱全,能够切实提升用户的学习效果。此外,Sololearn采用了独特的互动式学习模式,借助在线编辑器和练习题,让用户在实践操作中掌握编程知识,进而更深入地理解和运用所学内容。
《一起跳跳冒险》是xyz工作室打造的一款充满刺激与趣味的跳跃冒险游戏,其故事背景构建于一个绚丽多彩的奇幻世界之中。在游戏里,玩家将陪伴主角一同探寻风格各异的地图,应对形形色色的障碍与敌人,凭借精准的跳跃技巧闯过重重关卡,与此同时,还得解开各类谜题并收集相关物品。这款游戏不仅拥有精美的画面,玩法简洁却富有挑战性,而且能够增进玩家之间的交流与互动,堪称一款极具创意和娱乐价值的佳作。
《热江》是一款主打江湖题材的刺激冒险MMORPG,游戏内设计了丰富耐玩的内容,同时支持玩家依据个人偏好自定义角色成长路线。游戏免费PK系统,玩家可自由投身PK对决,感受快意恩仇的江湖豪情;其特色的名剑系统备受关注,玩家通过完成任务、挑战副本等方式获取名剑,既能提升自身战力,也能彰显江湖地位。此外,游戏中还存在正邪势力在武林中的对抗,玩家可选择加入任意一方阵营,为所属势力征战。
雄鹰影视是一款超实用的免费影视资源平台,平台上汇聚了海量电视剧、电影、动漫等资源,全部支持免费观看,还包含众多免费直播内容。你能浏览到各种各样的频道,随时观看心仪的电视节目,精彩内容绝不错过。更重要的是,无需开通会员就能畅享所有资源,高清的画质搭配极速加载,让你体验畅快淋漓的追剧快感,堪称用户必备的追剧神器!
劳师傅安卓版是一款针对劳动力市场开发的智能劳务手机应用,旨在打通劳动力市场、劳工与用工需求之间的连接,为政府部门、用工主体以及农民工群体提供全方位的线上劳务服务支持。借助移动互联网与大数据技术的赋能,该应用成功推动劳务活动向线上化转型,切实了“用工方招工难、无合适工人可用,农民工找活不易”的行业痛点,显著提升了农民工的就业对接效率和用工者的招工匹配速度。
珍缘交友是龙口新朋友互联网科技有限公司开发的安卓社交软件,专注于为用户带来高品质的社交体验。它致力于构建纯净、高效且安全的交友环境,助力单身人士开启甜蜜的恋爱历程。无论用户是想寻觅伴侣,还是希望拓展社交人脉,珍缘交友都能满足这些多样化的需求。借助智能匹配系统与丰富的社交功能,用户可以轻松认识更多兴趣相投的朋友,打造专属于自己的社交圈子。
神马浏览器是一款专用的迷你浏览器软件,单手就能完成各类操作,浏览网页的轻松惬意会让你感到震撼。它支持手势操作页面,还有能左右自如点触滑动切换标签页的TouchPaging等独具匠心的操作方式,让网页浏览成为妙不可言的享受。哪怕标签数量再多,也能迅速便捷地切换浏览,只需点触页面左侧或右侧就能轻松切换标签,简单得让你吃惊。
饭团外卖是专为加拿大华人设计的外卖送餐服务平台,用户可根据自身需求自由选择。平台不仅支持各类美食店铺的在线下单及外卖配送服务,还提供跑腿、自提、美食点评等多元化功能,使用便捷。欢迎广大用户前来体验!
赤兔视频正版是一款面向影视爱好者推出的免费追剧工具,涵盖电视剧、电影、综艺、动漫等丰富内容类型。借助该应用,用户既能无限制观看全集资源,也能查看最新的热门榜单,及时了解当下热门的影视资讯。
《僵尸别追我》是一款紧张刺激的枪战射击冒险游戏,玩家将遭遇源源不断的僵尸浪潮,唯有凭借敏捷的反应力与精准的射击技巧方能求得生存。在这个危机四伏的世界里,玩家需收集各类武器与道具,不断升级装备,以此应对日益强悍的敌人。游戏设置了多样化的场景和丰富的关卡,玩家既可以与好友组队协作,也能独自挑战高分记录。
送牛奶的卡尔森,英文名为Milk man Karlson,是一款玩法别具一格的趣味射击游戏。在游戏里,你将化身为奶牛场员工卡尔森,在送牛奶的路途中会遇到形形色色的障碍与敌人,只有击败敌人才能顺利完成送牛奶的任务。你能够收集枪械等武器来参与战斗,消灭所有敌人。随着关卡的不断推进,游戏难度会逐渐提升,极具挑战性。
抱抱直播平台是近期颇受青睐的高颜值美女直播交友软件,其安卓手机最新版本是一个十分真实的无美颜直播平台,平台上的所有主播均以无美颜状态直接开播,能让你看到最真实的主播模样。此外,抱抱直播平台还会为用户呈现一场才艺视觉盛宴,主播们劲歌热舞不断,嗨聊氛围热烈,你可以尽情欣赏不同主播各具特色的才艺表演。
舰载机模拟器是一款备受玩家青睐的安卓游戏,其核心在于高度逼真的飞行模拟系统,能为玩家营造出沉浸式的舰载机驾驶氛围。在游戏里,玩家将化身为舰载机飞行员,投身于各类惊险刺激的任务:从航空母舰上腾空而起,穿越变幻莫测的天气与复杂多样的地形,与敌方展开激烈的空中交锋,最终顺利返回航母并安全降落。游戏不仅拥有细腻精美的画面呈现,操作方式也力求贴近真实,让玩家宛如亲临硝烟弥漫的真实战场。
城市英雄暴走是一款专为安卓用户打造的刺激动作冒险游戏。玩家在游戏里将化身神秘英雄,于繁华都市间穿梭,借助奔跑、跳跃、攀爬墙体等多样动作完成各类挑战任务,以此守护城市的和平与安全。这款游戏凭借精致的3D画面、丝滑的操作感受以及丰富的关卡设置,让玩家仿若身处真实的都市英雄世界,领略前所未有的冒险乐趣。
西梅小说是一款整合了全网小说资源的智能阅读应用,专注于为用户打造全面且个性化的追书体验。该应用汇集了多个平台的热门作品与经典名著,借助智能推荐和多源切换功能,让读者能够顺畅阅读各类题材的小说,并且拥有不受广告打扰的纯净阅读环境。
一无桌面ALauncher以极简桌面展示为核心特色,它基于Olauncher启动器进行修改升级,优化了桌面时间与电量的显示样式,适配旧版安卓系统,能为用户提供完整且简洁的桌面体验。如果你的手机应用过多导致桌面杂乱、缺乏美感,不妨用一无桌面来整理归纳。
在繁忙的生活中,你是否希望手机也能像你一样拥有分身术?这里为你整理了一系列能够实现应用分身的手机软件,它们让你轻松在一部手机上同时登录多个账号,工作娱乐两不误。这些免费下载的分身软件,操作简单,功能强大,保护隐私,让你的数字生活更加高效便捷。立即探索这些分身应用软件合集,开启你的多任务处理新篇章!
无限金币版游戏有哪些?很多游戏里面的金币是很难获得的,图小白玩家们分享许多好玩的游戏,提供了无限的金币,再也不用在游戏里为了货币而烦恼,在本专题小编给玩家们分享许多这样子的游戏,每一款都是真实的无限金币类游戏。
这些无广告影视软件通过简洁的界面设计和丰富的影视资源,为用户提供了极致的观影体验。无论是喜爱追剧的影迷还是喜欢电影的观众,都可以在这些软件上找到自己心仪的内容,而不必担心被广告打断,完全专注于享受影视的乐趣。这些软件还具备高速加载和离线下载功能,进一步提升了用户的使用便捷性,是追求高质量观影体验用户的必备之选。
唐客行各种版本,仿佛一群风格各异的江湖侠客,带你闯荡不同的侠义天地。以唐朝为背景,有独特的九宫格战斗和丰富单机剧情,可体验跨服乱斗、仙侣社交。更有变态版,上线福利满满,能畅享飞行坐骑、符文炼器等玩法。每个版本都独具魅力,等你仗剑江湖。
像素赛车手的各种版本,就像一群灵动的速度精灵,带你驰骋在像素风的赛车世界。有让你畅享无限资源的无限金币钻石版,可自由改装升级赛车;内置MOD菜单版能随意调整游戏参数,轻松取胜;中文版让你毫无语言障碍地沉浸其中;可存档版方便随时续玩。无论你是追求刺激挑战还是休闲娱乐,都能找到适合自己的版本,体验速度与激情的碰撞。
我的煎饼摊各种版本合集,宛如一群勤劳的小厨师,为玩家带来丰富多彩的经营体验。有原汁原味的官方正版,让你感受传统煎饼摊的经营乐趣。无广告版助你免受打扰,专注制作煎饼。无限钞票版可让你轻松升级摊位。还有炒菜摊版等创新玩法版本,各版本都以独特魅力,邀你在煎饼世界中打造属于自己的美食帝国。
地图导航类软件大全应用合集有什么优势?地图导航类软件大全应用合集包含多种功能丰富的软件。常见分类有通用综合导航类、专业钓鱼等特色场景类、特定区域地图类。其特点是基于卫星导航等技术提供服务。受欢迎是因为能满足人们出行需求,可精准定位、规划最优路线,还考虑交通状况。高清卫星地图可清晰展示环境,有的还有智能语音、AR实景导航等功能,能帮助用户便捷查找信息,是出行、找地点等的得力助手。
对战闯关类游戏,以其简单易上手的操作,成为众多玩家的心头好。这类游戏巧妙融合对战与闯关元素,为玩家打造出丰富多样且刺激十足的游戏体验。在游戏世界里,不同难度、风格各异的关卡如璀璨星辰般等待玩家去挑战,每一关都充满未知与惊喜。而在成功闯关的过程中,玩家还能解锁精彩纷呈的刺激内容,可能是独特的角色技能,也可能是隐藏的剧情故事。无论是休闲玩家寻求放松,还是竞技爱好者渴望挑战,对战闯关类游戏都能满足需求,带来无与伦比的游戏乐趣。
冒险战斗类游戏有哪些亮点?这类游戏将冒险探索与战斗对抗完美融合。常见的有开放世界类,玩家可在广阔地图自由探索战斗;还有地牢探险类,需在复杂地牢中与怪物激战;以及科幻题材类,借助高科技武器战斗。它们受欢迎是因为能满足玩家的探索欲和战斗激情。玩家可在游戏中体验刺激战斗,挑战强大敌人,还能探索神秘世界、收集珍稀物品,感受不同的故事与文化,适合喜欢挑战和探索未知的玩家。
食物归类者游戏有哪些精彩玩法与特色?食物归类者游戏大全以食物分类为核心,融合模拟经营与益智元素。其常见玩法有分类食材、经营餐厅,玩家要将水果、蔬菜、肉类等食物精准分类,还需经营餐厅满足动物顾客需求。这类游戏画风清新可爱,多采用2D卡通风格。它受欢迎是因为能锻炼观察力、反应力,还能让人了解食物知识与饮食文化。可助玩家在休闲时光中放松身心,享受经营乐趣与分类挑战。
游戏资源分享app合集能满足哪些需求?这类合集是游戏爱好者的福音。它们通常汇聚海量游戏资源,涵盖手游、单机、网游等。常见分类有综合资源类,像4399游戏盒、九游,游戏种类繁多;云游戏类如随乐游云游戏,可免下载即点即玩。受欢迎的原因在于能提供便捷下载渠道,还能分享攻略、交流心得,为玩家提供一站式游戏体验,助玩家轻松找到心仪游戏,享受游戏乐趣。
物流软件有哪些作用?物流软件可帮助物流企业和从业者提高运输、仓储、配送等环节的效率。常见有运输管理、仓储管理、订单管理等类型。能实现货物实时跟踪、车辆调度、库存管理等功能,方便企业优化资源配置,降低成本,提高服务质量,提升客户满意度,让物流运作更高效、精准、有序,是物流行业数字化转型的重要工具。
还在为图片上的文字修改而烦恼吗?修图改字无痕版本大全来帮你。这些软件运用先进的AI技术,能够精准还原字体的字迹、样式、材质等,无论是印刷字、手写字还是书法体、艺术字、立体字,都能修改得毫无痕迹。无论是电商物料、办公资料还是学研材料、门店照片等场景,都能轻松应对,让你的修图工作变得高效又专业,呈现出完美的视觉效果。
在手机新闻app大全中,为各位用户悉心搜罗了形形色色的新闻类APP。通过这些新闻类APP,用户能以极快的速度,及时了解刚发布的新闻资讯,保证不会错过任何一则重要新闻。手机新闻app到底哪个更实用呢?别急,接下来小编就给大家带来用心收集的新闻APP推荐,咱们一起深入了解下吧。
恶魔轮盘是一款充满刺激的冒险解谜类游戏,在游戏进程里,玩家将持续与恶魔展开激烈对决。这款游戏宛如一座神秘的迷宫,深处隐匿着数不胜数的玩法奥秘以及规则迷局。每一次策略的抉择,都需玩家在令人倍感窒息的压迫氛围中独自做出裁决。
可以对女生角色为所欲为的游戏合集,为我们带来了形形色色以女生妹子为主角的游戏。在游戏里操控妹子,我们能做各种事。比如,当在游戏大街上看到有人欺负弱小,你就能让自己操控的女生角色,前去与那些欺负弱小的坏蛋展开战斗,用拳头将他们击垮;还能在大街上操控妹子抢夺汽车,让她成为一个暴力女孩等等。在这些游戏中,你操控的女生几乎无所不能哦。
在当下手机游戏普及的时代,手机准星辅助类应用依靠其独特的辅助作用和便捷的使用感受,成了不少游戏玩家的必备工具。这类应用不仅能提供精准的准星定位,助力玩家在游戏里迅速锁定目标,还整合了多种实用功能,比如自定义准星样式、调节准星大小和透明度等,以此满足不同玩家的个性化需求。
彩虹六号手游是一款主打5v5多人在线的第一人称战术射击类移动游戏,在对端游核心玩法进行高度还原的基础上,还围绕移动端操作特性展开了深度适配与优化,力求为玩家带来流畅且兼具独特风格的战斗体验。游戏中,玩家能够自主选择加入进攻方或防守方阵营,在节奏明快、极度强调策略规划与团队协作的围攻对抗场景里,与队友展开紧密配合,上演一场场充满高强度博弈的战术对决。
想追日本动漫却找不到资源全、画质好的软件?别担心,今天为大家推荐几款看日本动漫的优质软件,无论是经典老番还是最新连载,都能在里面免费观看,同步更新,几乎涵盖全网日漫资源,还支持投屏、下载、收藏等实用功能!
狗头大作战全版本合集邀你踏入精彩纷呈的狗头世界!这里汇聚了系列所有版本,助你尽情感受狗头对决的热血激情!各位玩家,快戴上专属狗头盔甲,挥动手中神剑,与其他玩家开启一场惊心动魄的激战!在不同版本里解锁多样战斗模式与特色道具,凭借精湛战斗技巧和默契团队配合,登顶成为狗头之王!
漫画迷的福音来啦!追漫画神器手机app大集合,海量高清漫画资源一应俱全,无论是热门连载漫画,还是经典完结之作,统统都能在这里找到。这些app不仅能带来丝滑流畅的在线阅读体验,还支持离线下载,让精彩漫画随时陪伴在你身边。更值得夸赞的是,它们能依据用户的阅读偏好,智能推送个性化内容,每一次翻页都仿佛开启一场惊喜之旅。而且,这些app还具备社区互动功能,漫迷们可以在这里交流分享,结识志同道合的伙伴,一同沉醉在漫画的奇妙世界里。
这里有各种各样的视频,你都能在线获取,不用花一分钱就能观看高清视频,各类视频类型一应俱全,快来下载体验吧!
《未转变者》是一款末日题材的像素沙盒生存游戏,现已由正版PC端移植至手机平台,且全程支持中文汉化。目前游戏已推出多种不同版本,小编特意从网上搜集了各个版本,包括官方版、3.0移植版、双人联机版、中文版等,感兴趣的玩家可以挑选其中一款下载体验。
驾考宝典是一款超受欢迎的学车必备神器,用上它能显著提升你的考试通过率。这款软件不仅得到了众多驾校、教练、司机和学员的大力推荐,还实时同步新版标准机动车考试题库,考题资源实时更新,全方位为你的驾考助力,有需求的小伙伴可千万别错过啦!
免费看电影软件,是一款能让你免费观看各类视频资源的APP。在这里,无需充值就能获取VIP会员权益,所有影视剧资源任你畅享,无论是影院刚上映的最新大片,还是刚更新的热门电视剧,亦或是精彩纷呈的综艺节目,都应有尽有。软件内电影类型丰富多样,涵盖悬疑、枪战、搞笑、冒险、科幻、惊悚等,视频分类细致入微,页面导航清晰明了。不仅如此,它还支持在线点播与云直播,就算是热门电影大片,也能免费点播观看。现诚邀合作伙伴来本站下载使用!
这类游戏主打轻松治愈的多元玩法,涵盖消除、拼图、趣味解谜等多种类型,操作简单易上手,完美适配各类碎片时间,玩家可在趣味挑战中释放日常压力,感受轻松愉快的游戏乐趣,快来体验吧!
是资深书虫,总是渴望更全、更快的阅读资源?小说阅读平台合集专题提供了高度自定义的解决方案。特别是开源阅读类应用,配合丰富的书源库,让你能聚合全网小说资源。其他平台也各有特色,提供海量正版或免费内容,满足你随时随地的阅读需求,打造专属的个人移动图书馆。喜欢阅读的朋友,快来收藏吧!
漫画阅读体验优化工具大全专题让阅读更舒适。支持多种翻页模式、护眼滤镜、字体调节,还能自动标记阅读进度。无广告弹窗干扰,加载速度快,大屏小屏都适配。想提升阅读感?立即下载,开启你的体验。
《开心消消乐》作为乐元素公司推出的热门休闲益智游戏,凭借精致的画面风格、便捷的操作方式、多样的关卡设计以及趣味十足的玩法,收获了亿万玩家的青睐。在游戏过程中,玩家只需滑动手指,将相同图案的方块连接起来即可完成消除,通过持续挑战不同关卡,尽情享受游戏带来的欢乐体验。
插座模拟器是一款卡通风格的趣味休闲游戏,玩家要连接不同插座给手机等电器充电,期间得应对各种障碍难题。游戏玩法简单、画风清新,适合各年龄段玩家,还有大量关卡,能带来轻松又烧脑的充电挑战体验。
贪吃蛇大作战是一款长盛不衰的休闲竞技游戏,它在经典贪吃蛇玩法基础上进行了创新升级。游戏里,玩家从一条小蛇起步,通过不断吞食地图上的豆豆来让自己变得更长更粗,最终目标是成为整个地图上体型最大的蛇。此外,玩家还能吃掉比自己小的其他蛇,但必须时刻留意——绝对不能让蛇头撞到墙壁或其他对手,否则之前的努力就会全部白费。
《斗魔骑士》是一款以西方奇幻为背景的角色扮演游戏,玩家可在其中挑选战士、法师、盗贼等不同职业,每个职业都具备专属的技能与属性设定。在这个广阔的游戏世界里,玩家不仅要完成各类任务、探索充满未知的地下城,还能与其他玩家进行紧张刺激的PK对战。为了向经典魔兽RPG致敬,游戏特别融入了Roguelike玩法,打造出别具一格的游戏体验,具有很强的可玩性。感兴趣的朋友们千万不要错过,赶紧来尝试一下吧!
拼图杂志是一款手机拼图游戏,它设有大量可供挑战的关卡,每张图片的色彩都十分绚丽。玩家在不同关卡需完成各异的任务,这极其考验眼力,要在限定时间内找出指定物品,每个关卡都颇具挑战性。
《天天猜字谜》是一款休闲益智类猜谜游戏,核心玩法是让玩家通过解析谜面,推测出对应的汉字或词语答案。游戏采用简约的画面设计与便捷的操作方式,方便玩家在任何场景下随时开启汉字知识的趣味挑战。游戏难度设置循序渐进,既保证了上手的友好度,又具备足够的思维挑战性,同时还提供了多样化的关卡与模式供玩家探索解锁。在解谜过程中,玩家需要结合自身的汉字储备与逻辑推理能力来谜题,不仅能有效锻炼汉字识别能力,还能提升语言逻辑思维,非常适合热爱汉字文化、喜欢智力挑战的玩家体验!
《小森生活》是一款治愈系模拟养成游戏,玩家将在远离城市喧嚣的森林里开启宁静舒适的生活。在这里,你可以自由建造家园、经营小店、开垦菜园,尽情享受田园生活的惬意。清新的动漫画风让沉浸感拉满,仿佛真的置身于风景如画的乡村之中。收到外婆的神秘信件后,玩家回到童年生活的故乡,体验耕种、收割、与村民互动的乐趣,在这些日常活动中逐渐找回往昔的温暖记忆。每一次探索都藏着新惊喜,让你在小森世界里发掘无限可能,打造独属于自己的理想生活。
超萌外星人安卓版是一款趣味十足的休闲益智小游戏,简单的玩法结合魔性的设定,加上Q萌可爱的外星人画风,感兴趣的小伙伴快来体验这款超萌外星人安卓版吧~
《往左一点》(A Little to the Left)是一款主打整理收纳的休闲益智游戏,玩家需要对场景里的零散物品进行分类、堆叠与排列,使它们回归整齐有序的模样。这款游戏画风清新治愈,操作简单易上手,完成整理后还能带来满满的成就感。你可以自由挑选不同的道具和场景开启挑战,感受整理过程中的放松与乐趣,喜欢这类游戏的小伙伴可千万别错过啦。
解谜王者是一款超有趣的解谜游戏,音效和画面表现都很出色,游戏任务丰富多样,支持免费试玩,通过灵活的指尖操作完成更多任务,就能享受愉快的游戏时光。这里有海量玩法和不断升级的关卡任务,你可以随意尝试,收获精彩刺激的游戏体验。喜欢就来玩这款游戏吧!
口袋妖怪光之魄手机版是从gba版本移植而来的口袋妖怪游戏,你将化身一名新手训练师,踏入广袤且充满活力的幻想大陆。草丛里的每一次响动都可能带来新的相遇,无论是熟悉的精灵伙伴,还是外形各异的稀有精灵,都等着被你发现并加入队伍。通过用心培养和一起冒险,见证它们的成长与蜕变,解锁更强的形态,打造出一支特色鲜明、配合默契的理想队伍,去迎接各地训练师的挑战以及联盟大赛的最终考验。