数学天堂不只是一款数学学习工具,更是一种思维模式的载体,它着力培养使用者的逻辑推理能力、抽象思维能力以及问题解决能力。作为一款面向数学学习、教育与科研领域打造的综合性应用,数学天堂整合了海量的数学工具与教育资源,致力于协助用户深度剖析从中学阶段到大学阶段乃至科研工作中的各类数学问题,并为用户提供高效且便捷的解决途径。
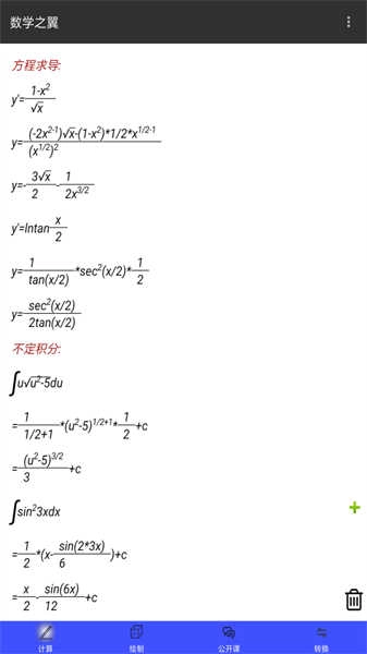
符号计算:可对各类方程式开展符号运算,从而获取精准的解析解。
方程求解功能:能够对各类方程式进行求解,给出精准的答案,并且兼容多种不同类型的方程。
高等代数计算包含极限求值、求导数、定积分求值等高级数学功能,可快速求解微分方程与不定积分方程。
线性代数模块具备行列式求解、矩阵运算等功能,能为各类线性代数计算提供便捷支持。
二维/三维曲线绘制功能:具备多种参数方程绘制形式,可在直角坐标与极坐标体系下,实现二维及三维曲线的绘制操作。
几何图形绘制功能支持通过触控操作或命令行输入两种方式,完成平面几何图形与立体几何图形的绘制,同时还能对多种几何体进行相关计算。
精确计算格式:遵循数学领域的传统定义格式开展计算的输入与输出工作,以保障计算过程的准确性以及结果呈现的标准化。
实数与复数运算:可实现复杂的实数和复数科学计算,能满足高等数学运算方面的需求。
变量操作:具备变量赋值、查询以及代入计算等功能,能够助力实现动态求解。
多类型数值支持:可对常量、变量、序列变量、数组、坐标等多种数值类型进行定义与计算。
结果保存与共享:能够对计算和绘制的内容进行保存,同时具备截屏和共享功能,方便用户保存与分享相关结果。
几何体计算:对常见几何体及其不同形态加以定义与绘制,并开展长度、面积、体积等方面的计算工作。
几何体变换:可对坐标系内的几何体执行平移、旋转等操作,以实现几何变换。
数制与单位转换:具备全面的数制及单位转换能力,能满足不同数学领域的使用需求。
高级编程语言的特性在于整合高级语言功能,达成变量类型的自动处理,以此提高编程效率。
数学的实用性体现在方方面面:不管是调校仪表、日常购物、进行测量,还是开展分类统计工作,数学都能轻松派上用场。
数与运算板块:具备精准的数字描摹、清点数数、计算比较等基础功能,助力用户更轻松地掌握数与运算的相关知识和操作方法。
数学公式推导:让复杂的数学公式不再局限于纸面推演,通过手机就能便捷完成推导与计算。
图形几何处理:具备图形识别、图形拼割组合等功能,能让用户更直观地理解几何概念。
数学天堂是一款功能全面的数学工具,它具备高效的公式编辑能力,还能实现自动计算意图识别、分步计算演示、图形绘制等多种功能,融合了数值计算、代数运算与图形处理的特长。用户借助这款应用能够轻松应对复杂的数学难题,同时还能使用注释、保存和分享等实用功能。由于操作便捷且计算精准,数学天堂收获了众多用户的好评。
6.5分
老虎TV版App是专门为电视用户设计的免费追剧利器,整合了丰富的影视内容,包含电影、电视剧、综艺、动漫等多种类别,能满足不同用户的观看需求。平台对资源进行了精细分类,用户可依据个人偏好迅速找到喜欢的内容。不管是经典老剧还是当下热门剧集,老虎TV都能提供高清流畅的播放效果,画面清晰,音效优质,让用户获得沉浸式的观影体验。而且,软件界面设计简约明了,操作简单,适合全家人使用。如果你是影视爱好者,这款App无疑是你追剧的必备之选,赶紧来试试吧!
整查查是一款专为有整形需求的用户打造的医美整形信息查询工具。通过该平台,用户不仅能查询全国范围内的正规医美机构信息,还可以根据自身需求选择对应的整形项目,进而获取各机构的报价详情。这有助于用户挑选更合适的医院,避免在医美整形过程中吃亏,从而获得更优质的体验。 整查查最新版本新增了实用的黑白名单功能
motion ninja,Motion Ninja是一款专注于手机视频剪辑的应用,它最大的亮点在于拥有丰富的特效资源,能轻松打造出极具视觉冲击力的赛博朋克风格效果。借助这款软件,用户可以高效完成特效剪辑工作,强大的功能支持让单人在手机端就能创作出理想的特效视频,便捷的操作设计也能带来更流畅的使用体验。如果想让自己剪辑的视频拥有吸睛的炫酷特效,不妨尝试一下这款软件!
押韵啦,这是一款专为写作者量身打造的创作助手工具。当你输入关键词后,它就能为你推荐对应的押韵词汇、短语等内容。其数据库里涵盖了海量的谚语、唐诗、宋词、元曲、网络用语以及歌词等素材,能为用户提供十分丰富的选择。
决定喵大转盘是一款超有意思的休闲游戏,特别适合小伙伴们一起玩。摇骰子、转转盘这些玩法,能让你操作起来更顺手;多样的游戏任务,也能让玩家更好地熟悉操作。简单的游戏模式和操作方式,能帮你快速上手了解整个游戏,快来试试吧!
lovecraft locker3,Lovecraft Locker3
爱韩剧是一款专门为韩剧爱好者开发的移动应用,上线后便受到了许多韩剧迷的喜爱。它除了拥有海量的韩剧观看资源外,还搭建了一个融合资讯更新与粉丝互动的综合平台,使得用户在追看剧集的过程中,既能沉浸在浓郁的韩剧文化氛围里,又能享受互动带来的乐趣,切实达成了观看、知晓和分享韩剧的一站式体验。
畅聊直播是一款集观看直播与互动娱乐于一体的应用,平台内容十分多元。每天都能刷到各类精彩直播,玩法始终推陈出新。这里的直播类型丰富多样,涵盖才艺表演、PK对决、音乐电台、语音聊天等,你想找的类型基本都能满足。观看直播时,若遇到心仪的主播,还可以赠送礼物表达支持,互动交流也别有一番趣味。
压抑紧张的氛围瞬间笼罩周身,昏暗光线里的墙壁满是血迹与怪异涂鸦,营造出沉浸式的恐怖感受。
《病毒瘟疫》中文版是一款画面写实、兼具策略性与挑战性的病毒传播模拟游戏。在游戏里,玩家化身为病毒研究者,通过研发和扩散各类新型病毒,力求在全球范围内掀起一场史无前例的瘟疫。不过,这个过程绝非坦途,玩家会遭遇来自世界各地的抵抗势力,他们全力阻止病毒扩散。所以,玩家必须周密规划,持续升级和改良病毒,让它拥有足够的传播能力与致命性,最终成功席卷全球。
爱听4G是一款为音乐爱好者量身打造的音乐播放应用,依托4G网络的高速特性,汇聚了海量超高品质歌曲与热门独家MV。用户既能在此畅享音乐的魅力,软件还配备了歌曲播放、高清MV观看、彩铃订购等丰富功能,让音乐体验更全面、更便捷。
酷咖游戏厅旧版本是一款汇聚了手游、端游等各类游戏资源的社区类应用,支持一键快速自动安装,具备精准的游戏资源检索功能与个性化排行榜推荐,平台会持续更新更多新游戏资源,专属社区还能为用户提供丰富的游戏攻略和评测内容,若想获取更多游戏资源,不妨试试酷咖游戏厅旧版本!
《装扮秀场》是一款主打休闲换装玩法的游戏。它采用细腻的3D美术风格,力求呈现出逼真的视觉体验,不仅提供了多样化的人物角色可供选择,更有海量带有独特风格的服饰与化妆品资源库。 在游戏中,玩家能够依据不同的主题设定和场景需求,自由组合服装、发型与妆容,甚至可以自定义服装的色彩,亲手为角色打造出专属的、
神奇动态壁纸最新版是一款主题壁纸应用,你可以在里面查找并设置自己喜欢的壁纸,也能挑选心仪的动态壁纸来使用。它为你提供了多种便捷省心的壁纸功能,在这里能体验到简单易用的壁纸服务,还有独特的功能和趣味玩法,轻松尝试更多壁纸相关的操作,同时还能获取到更多优质高清的壁纸资源。
策略城池3是一款十分有趣的策略游戏,超棒的操作体验,多样的游戏模式,丰富的挑战关卡,让玩家能轻松沉浸其中。每个模式都能让你自由探索策略的乐趣,轻松应对各类挑战,快来加入游戏,感受策略的独特魅力吧!
番茄免费小说5.1.2免费版能让大家真正免费阅读喜爱的小说资源。这里汇聚了大量精心筛选的优质小说,所有作品均可免费阅读。凭借丰富的小说资源,用户能轻松挑选想读的内容。此外,用户还可以便捷地自定义阅读界面,获得更舒适的阅读体验。该软件会依据用户的阅读历史和偏好,推荐个性化的小说内容;同时提供清晰的分类与强大的搜索功能,从此再也不用担心无书可读。
顺游手咖是一款整合了多种娱乐功能的手机应用。它涵盖了丰富的游戏、阅读、视频等内容,致力于为用户打造一站式的休闲娱乐体验。
《逃离方块:锈湖旅馆》是一款融合神秘与悬疑元素的解谜游戏。在游戏中,玩家将化身为旅馆接待员,接待五位身份成谜的拟人化动物宾客,并在弥漫着诡异气息的旅馆空间里层层谜题,逐步揭开事件背后隐藏的真相。游戏采用精致的手绘插画风格,画面质感细腻;旅馆内的每个房间都设计有独特的谜题关卡与叙事剧情,搭配上扣人心弦的背景音乐,为玩家营造出紧张刺激的沉浸式游戏体验。
空气小猪是一款专注于熟人社交场景的语言学习翻译工具,它能帮助用户轻松表达自我,提供多国语言的实时翻译服务,让跨语言交流畅通无阻,便捷实现多语言社交互动与自由切换,还支持语音输出、词卡一键背诵等功能,助力用户熟练表达、掌握语法,满足不同用户的语言学习与使用需求。
有线电视TV版是专为电视用户打造的电视盒应用。借助这款软件,用户能观看各类电视节目,涵盖中央电视台以及湖南、北京、浙江、山东等主流卫视频道的直播内容。平台覆盖体育、儿童、综艺、地方、卫视频道等数百个优质频道,节目类型包括新闻、电影、体育赛事、少儿节目、电视剧等。无论是央视、卫视还是地方台,所需内容一应俱全。上百个精彩频道,充分满足用户的观看需求。此外,该软件支持回放功能,用户再也不用担心错过精彩节目!
DeePAI极速翻译官是一款专注于为用户提供智能AI翻译服务的应用软件,它配备了高效智能的翻译功能,能帮助用户实现快速精准的翻译需求。该软件提供了文本翻译、语音翻译、拍照翻译等多种翻译模式,用户可以根据自身需要灵活选择,适用于各类场景,让翻译变得轻松便捷;同时,用户还能轻松体验同声传译功能,针对所需语言进行精准翻译,实现快速同声传译,助力无障碍沟通交流,有效提升办公与学习效率。另外,DeePAI极速翻译官手机版支持多语言翻译,用户可自由选择不同语言,一键即可完成翻译操作,有需求的用户不妨立即前往本站使用。
《解压制造神器》是一款主打休闲益智的解压游戏,玩家能在其中尝试多种解压玩法——通过简单的操作就能制作出各式各样的模型,比如用不同颜色的面团捏制小器具。游戏画面简约又清新,搭配上轻松愉悦的配乐,各年龄段的玩家都能轻松上手。它不仅可以帮助大家释放日常压力,还能有效激发创造力,让玩家在游戏过程中收获轻松又愉快的体验。
小明加油是一款融合精准导航与便捷加油服务的车用软件,其导航定位精准无误,语音响应迅速灵敏。用户借助它能够一键搜索附近加油站,轻松完成支付流程,还能享受相应的返现优惠。软件了海量高品质音乐资源,无论是日常通勤还是长途自驾,都能为您带来愉悦的听觉陪伴。此外,它支持与车载智能硬件联动,实现语音指令操控,有效减少驾驶过程中的手动操作,从而提升行车安全性,为车主打造更为便捷的数字化驾车体验。
《数字合合乐》是一款休闲闯关游戏,设有多个可选关卡。玩家需通过消除与合并数字来闯关,这一过程十分考验眼力与手速。每个关卡都有时间限制,需在规定时间内完成挑战;合理使用道具能让闯关更轻松,感兴趣的玩家不妨来试试!
守护光明顶这款游戏,灵感源自金庸经典武侠小说《倚天屠龙记》,属于防守题材。玩家将化身江湖中的英雄豪杰,肩负起阻挡六大派等反派势力围攻光明顶的重任。游戏巧妙结合了角色扮演、策略塔防以及装备收集的玩法,玩家在战胜敌人、完成各项任务的过程中,能够积累经验值、获取装备,从而不断增强自身的能力。游戏里设计了多样的主线与支线任务,比如挑战各门派的顶尖高手、探寻失传的武功秘籍等,还支持玩家打造独一无二的专属武器。玩家需要精心搭配自身的技能与装备,规划出合适的防守策略,并且和队友相互配合,一同守护光明顶,亲身感受热血江湖中的豪迈气概与刺激挑战。
白描证件照安卓版,进入主页就能看到所有能制作的证件照尺寸,规格清晰明了,一目了然。
数字文化产权平台是一个聚焦数字版权领域的综合性服务平台,旨在为创作者、版权所有者等用户群体提供更便捷、更安全的服务支持。用户通过平台应用,可便捷完成版权存证与认证操作,有效保障作品权益,防止被盗用侵权;平台还支持数字作品在线交易功能,既方便用户随时选购心仪的数字商品,也能助力创作者快速出售自己的作品,轻松达成交易闭环。此外,平台搭建了会员专属社区,用户可在此自由浏览各类行业动态与热点资讯,与其他创作者、爱好者交流互动,共享优质数字资源,同时高效实现供需双方的交易对接。欢迎感兴趣的用户前来体验,享受平台带来的贴心服务!
《小乞丐逆袭记》是一款围绕人生逆袭主题展开的模拟经营游戏,其核心剧情讲述了因豪门抱错而流落街头的少爷,为了治愈身患重病的妹妹并扭转自身命运,在困境中不懈拼搏的励志故事。该作品以贴近现实的设定为基础,巧妙融合了生存挑战与商业经营的双重元素,整体氛围既富有浓厚的生活烟火气,又洋溢着奋斗的热血与对未来的希望,能让玩家在沉浸式的游戏体验中,深刻感受到从绝境中奋起重生的强大力量。
沙威玛传奇是一款近期爆火的模拟烹饪经营手游,好玩得根本停不下来!在游戏中,您将亲自经营一家沙威玛餐饮店,处理来自顾客的美食订单,并升级餐厅的各个方面。您以为这是一款休闲游戏?对,但又不全对,想要玩好这款游戏,您还得具备极快的手速,否则您的客人可不会满意哦! 本站特地整理制作了沙威玛传奇版本大全,其中汇集了沙威玛传奇游戏的多个版本下载,如沙威玛传奇官方正版安卓版、沙威玛传奇苹果版、沙威玛传奇无限金币版等,让您在任何设备上都能畅玩,获得真正的沙威玛体验!
HillClimbRacing 登山赛车系列游戏合集包含了整个登山赛车的 1、2 两部作品,并且有国服以及国际服的版本,对于很多玩家而言能够体验到不一样的游戏内容,并且推出了全新的车型,让玩家能够体验到全新的驾驶快感。不只是两款游戏的国服、国际服,还有该系列更多衍生的游戏版本,下面就全部汇总为大家提供 HillClimbRacing 版本大全,让大家能够体验到不一样的元素。
黑洞加速器是为喜欢玩游戏的小伙伴们打造了一款非常专业优秀的加速器软件,这款软件功能强大且操作简便,能显著改善网络环境,让游戏体验更加流畅。其免费版还提供广告拦截功能,确保用户享受纯净的网络空间。对于需要游戏加速器的用户来说,这是一个不容错过的选择。快来下载体验,让您的游戏之旅更加畅快淋漓!
话语探险异星飞行合集是一个汇聚众多以星际探险飞行题材为主的游戏软件集合。这里涵盖了各种风格与玩法的相关游戏,无论是追求刺激的太空冒险飞行,还是侧重于探索未知星球奥秘的星际之旅,都能在此找到。合集内的游戏为玩家搭建起一个个奇妙的异星世界,让玩家仿佛亲身驾驶飞行器穿梭于浩瀚宇宙。从新手引导到复杂的星际任务,满足不同游戏水平玩家的需求。无论是渴望体验星际探索的新奇,还是钟情于飞行操控的乐趣,这个探险异星飞行合集都能为你开启一段精彩的星际游戏之旅,快来探索这个充满未知与惊喜的游戏世界吧。
不收费免费看的视频软件大全。这些软件资源广泛,涵盖电影、电视剧、综艺、动漫等多种类型,无论是热门大片还是小众佳作都能找到。界面设计注重简洁易用,操作便捷,方便用户快速找到想看内容。更新速度通常较快,及时为用户提供新资源。部分软件还具备个性化推荐、离线缓存功能,有的会通过广告盈利来维持免费模式,能满足不同用户多样的观影追剧需求。想来试一试的朋友,点击立即下载就能安装到手机里面体验!
房产达人,一款非常有趣的模拟经营游戏。玩家扮演房产经纪人,购买破损房屋。利用铁锤等工具进行装修,包括拆除墙体、粉刷、安装水电等。还要处理清除霉菌等问题。需根据买家喜好布置家具,装修完以更高价格售出,赚取利润。游戏有任务、沙盒等模式,还有成就系统,另有多个DLC丰富玩法。想玩的话就来尝试下载体验吧!
宝可梦大师ex宛如宝可梦世界里活力四射的“小明星”呢!它是一款超精彩的精灵养成冒险游戏,以3D引擎打造出逼真的宠物精灵世界。在这里,历代宝可梦训练家齐聚,玩家可收集海量宝可梦,与它们并肩作战,通过3V3即时战斗、策略搭配和养成玩法,挑战世界宝可梦大师赛,体验充满热血与乐趣的精灵冒险之旅。
米加小镇去广告,就像是给这个可爱的虚拟小镇装上了一道“宁静防护盾”呀!作为一款超受欢迎的模拟经营游戏,米加小镇让玩家尽情打造自己的世界,但广告有时会稍显打扰。而去广告版本或功能,能让你在无干扰的环境中,自由装饰小镇、操控角色互动,更沉浸地体验温馨有趣的小镇生活,享受纯粹的游戏快乐。
《气球塔防》系列,就像一群调皮又聪明的猴子守护家园的欢乐派对。从初代简单的Flash页游开始,就开启了猴子扎气球的奇妙之旅。到了《气球塔防6》更是精彩升级,有超2000万次下载量,Steam好评率高达97%。你可以指挥四大类型23种猴子,搭配14位英雄,在60多张地图上对抗千奇百怪的气球大军,策略烧脑又解压,玩起来根本停不下来。
勇士的黎明混沌之战,宛如一位勇敢无畏的冒险使者,带你闯入像素风的奇幻世界。在路西法引领怪物入侵的危机时刻,你将化身勇士力挽狂澜。这里有程序生成的超大地图等你探索,超120个可选角色、50多个技能任你搭配。四个难度模式与HardCore模式,满足你的挑战欲,30多个角色同屏混战超震撼。
堡垒之夜的各种版本,宛如一群充满创意的游戏精灵,为玩家带来多元的游戏盛宴。有主打大逃杀的经典版,百人同场竞技乐趣无穷。合作防御的拯救世界版,可与队友携手对抗丧尸。还有能自由创造的创意版,任你打造专属世界。更有乐高版、赛车版、节奏版等带来别样体验,各版本都以独特玩法,邀你沉浸在堡垒之夜的奇妙世界。
蜗牛影院都有哪些版本呢?蜗牛影院有官方版、免费版、TV版、最新版等。这些版本都有海量影视资源,涵盖电影、电视剧、动漫、综艺等多个分类。常见的分类有移动版和TV版,移动版方便随时随地观影,TV版更适合在大屏设备上享受影院级体验。它们受欢迎的原因在于资源丰富、更新迅速、画质高清、播放流畅,能为用户提供便捷、舒适的观影服务,满足用户多样化的观影需求。
推荐的电视剧在线观看免费影视APP,拥有海量丰富的影视内容,涵盖最新电影、热门剧集、经典纪录片以及各类独家节目。该平台始终专注于为用户打造高品质的观影体验。其界面简洁直观,影视搜索功能强大,让用户能轻松找到并观看心仪的内容。要是你热爱电影或痴迷电视节目,渴望随时随地畅享精彩的影视盛宴,那这些影视资源无疑是你的不二之选。赶快下载最新版本,随时随地一头扎进影视的精彩世界里!
二次元SLG作为当下极为热门的手游类型,在这类游戏里,玩家能够与可爱的小姐姐以及酷炫的小哥哥一同经营自己的领地,还能引领玩家感受精彩的游戏剧情,领略酷炫的特效、流畅的动作以及二次元风格的游戏画面。今天,小编为各位玩家精心准备了二次元SLG手游推荐,想来试一试的朋友,点击立即下载就能安装到手机里面体验!
做寿司游戏不同版本合集都有哪些精彩玩法?做寿司游戏不同版本合集涵盖了众多以寿司制作为主题的趣味游戏。从类型上看,有模拟经营类,让玩家经营寿司店,负责食材采购到顾客服务;有休闲益智类,通过合成等玩法制作寿司。画面风格多样,有Q版可爱风,也有写实精致风。因能让玩家体验制作乐趣、释放压力,还可锻炼策略规划与操作能力而受喜爱。能满足玩家创意发挥、经营管理想象及休闲娱乐等需求,带来沉浸式寿司制作体验。
冒险解谜逃脱游戏有哪些独特魅力?冒险解谜逃脱游戏大全是众多烧脑探险游戏的集合。这类游戏通常有密室逃脱类、恐怖逃生类、剧情探险类等。受欢迎的原因在于能满足玩家的探索欲与求知欲,锻炼逻辑思维和观察力。玩家可在游戏中扮演被困角色,通过观察环境、搜集线索、解开谜题来寻找出路。可体验从古堡密室到神秘岛屿等不同场景的冒险,感受揭开真相、成功逃脱的成就感,享受烧脑又刺激的游戏过程。
扫描软件版本合集包含哪些好用的工具?扫描软件合集通常汇聚了能将纸质文档、图片等转换为电子格式的各类软件。常见分类有通用文档扫描类、OCR文字识别类、名片扫描类、底片扫描类等。它们受青睐是因为能提高办公、学习效率,方便文档管理与信息提取。可满足从简单的文档扫描存档,到复杂的文字识别、信息提取等多元需求,帮助用户快速、准确地处理各种扫描任务,轻松实现纸质资料的数字化。
可以对女生角色为所欲为的游戏合集,为我们带来了形形色色以女生妹子为主角的游戏。在游戏里操控妹子,我们能做各种事。比如,当在游戏大街上看到有人欺负弱小,你就能让自己操控的女生角色,前去与那些欺负弱小的坏蛋展开战斗,用拳头将他们击垮;还能在大街上操控妹子抢夺汽车,让她成为一个暴力女孩等等。在这些游戏中,你操控的女生几乎无所不能哦。
饥饿鲨世界国际服,是一款能带来刺激体验且乐趣满满的吞噬进化游戏。在游戏里,玩家将化身为形形色色的鲨鱼,于广袤无垠的海洋世界尽情遨游。通过吞食其他生物,鲨鱼会持续成长壮大。该游戏具备精致的3D画面,鲨鱼种类也极为丰富,从动作敏捷的双髻鲨,到性情凶悍的大白鲨,可谓一应俱全。不仅如此,还有诸多美轮美奂的海洋场景,等待玩家去探索发现,更有各式各样的任务与挑战,亟待玩家去完成。饥饿鲨世界国际服凭借其别具一格的玩法以及丰富多彩的游戏内容,收获了全球众多玩家的喜爱。
猪猪软件库是一个整合了官方最新版软件下载功能的应用集合平台,专注于为用户供给正版、安全且无病毒无广告的软件资源。平台用心收集并整理了各类实用软件,涵盖办公学习、娱乐游戏、系统工具等诸多领域,以满足用户的不同需求。
有哪些软件看剧既全又免费呢?今天给大家安利的这几款影视APP,不仅能免费追剧,而且是永久免VIP,没有任何广告和弹窗,能为用户带来纯净又舒适的看剧体验,喜欢追剧的小伙伴快来下载使用吧!
本栏目精心挑选了一批无需对方授权就能免费使用的手机定位追踪软件,其中包含鸽德手机定位、朋友定位、定位专家等多款实用工具。不管是需要了解亲友的实时位置,还是手机丢失后要进行紧急定位,这些软件都能帮上大忙。
游咔是一款免费提供各类游戏资源安装包下载的软件应用。在游咔官网版最新版本中,用户可以随时在首页搜索游戏、软件或小说等资源,所有资源完全免费,且每日更新频率高,同一款游戏还会提供多个版本的详细信息,绿色安全有保障。要是你不清楚如何找游戏、玩游戏,不妨下载游咔app,这里每日都会推荐热门游戏,都是超好玩的手机游戏,一键安装操作便捷。
谷歌三件套指的是Google服务框架、Google Play商店和Google Play服务,常玩国际服游戏的玩家想必对它并不陌生,这三者是运行谷歌系游戏和使用谷歌软件的基础。所以本站特意整理了谷歌框架安装器大全。
专为次元党打造的二次元壁纸软件合集,内含多款功能丰富、特色鲜明的手机APP。这些应用提供海量高清无水印二次元壁纸,内容丰富多样,是次元爱好者的理想之选。本站免费提供该合集下载,快来探索您钟爱的应用吧!
有哪些美食烹饪经营类游戏值得推荐呢?不少玩家对这类游戏情有独钟。今天小编就为大家整理了几款有趣又好玩的美食烹饪经营类游戏,感兴趣的话就一起来看看吧!
有哪些可以免费观看电影的播放器软件呢?小编为大家整理了几款能免费看电影的手机播放器,它们能让用户享受到全新且便捷的观影体验,不管是国内热门的新电影,还是国外经典的老影片,都能在这些软件里找到,感兴趣的话就赶紧下载试试吧!
今天给大家介绍几款当下热门的僵尸题材游戏,玩家能在游戏里扮演不同角色,应对因病毒感染而变成丧尸的人类,还得完成战斗、解谜、探索等各类任务,感兴趣的话就快来下载体验吧。